
800-802区时装首饰钢纹全新开放!套装属性开放至35级!

803区免费副本“淬体试炼”火热上线!

双11女神榜单揭晓,全服十大女神与情圣荣耀诞生!

感恩节超值回馈开启,豪礼暖寒冬!

心法回归五区(804区)预注册现今日14点开启,满级开局!
第五届天下第一争霸赛,“天下第一”“十大战神”今晚荣誉诞生!

锻造高手的试炼,解锁803区神秘的“钢纹”力量!

全新“稀有勋章”惊艳亮相,普通勋章等级扩展至10级!

“五虎巅峰赛“10月25日跨服赛,晋级名单出炉!

五虎巅峰赛“10月25日跨服赛,晋级名单出炉!

关注《热血传奇》企业微信,领取每月好礼!

魂玉!超强心法装备降临803区!

803区炼体、洗髓玩法上线,打造最强体魄!

传奇十大行会圆满结束,十大行会荣耀名单正式公布!

1.80英雄合击!25周年专区(215区)预注册今日14点抢先开启!
2025顶级赛事“五虎巅峰赛”,全区测试今日开启报名!

【25周年庆】送祝福表心意,GM替您达成心意!

【25周年庆】热血传奇烟火晚会节目单

25周年专区(215区)9月28日14点正式开服,版本揭秘!

传奇十大行会战区分组出炉!备战9月17日跨服第一战!
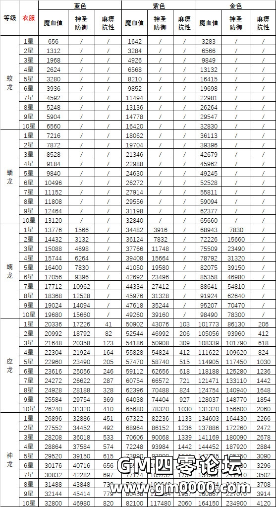
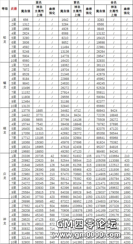
“龙帝归来”装备位淬炼,心法新区属性一览! |
上一篇:2025乙巳蛇年传奇春晚节目单! 下一篇:“龙帝归来”装备位淬炼,经典区属性一览! | |